- Знайти границю функції: поради і хитрощі
- Чому ми взагалі шукаємо границі?
- Застосування у житті
- Підходи до знаходження границі
- 1. Графічний метод
- 2. Аналітичний метод
- 3. Табличний метод
- Типи границь
- Правостороння і лівостороння границя
- Нескінченна границя
- Приклади знаходження границь
- Лінійні функції
- Квадратичні функції
- Показники та логарифми
- Границя функції і похідна
- Робити похідну – це як малювати у повітрі
- Взаємозв’язок з інтегралом
- Сутність інтегралу
- Висновки
Знайти границю функції: поради і хитрощі
Якщо ви коли-небудь задумувалися, як знайти границю функції, то ви потрапили за адресою. Це справжня магія математичного світу, яка дозволяє нам зазирнути за горизонт чисел. Наче натискаючи важіль часу, ми відкриваємо таємниці універсуму. Гляньмо! Серйозно, це не так складно, як здається.
Чому ми взагалі шукаємо границі?
Границя функції — це елегантний спосіб описати поведінку функції, коли аргумент прагне до якогось значення. Тут є багато нюансів. Уявіть функцію як сміливця, що долає завади, напряму до якоїсь точки. Ось про це й мова.
Застосування у житті
- Фізика: від швидкості світла до найменших частинок всесвіту.
- Економіка: оптимізація ресурсів, розподіл витрат, максимізація прибутку.
- Технології: алгоритми штучного інтелекту, передбачення даних.
Математика — не суха наука, як хтось колись сказав, а інструмент. І погляньте ще раз на ці ряди чисел. Він дихає.
Підходи до знаходження границі
Знайти границю функції можна різними методами. Це як обрати шлях на карті — який би маршрут ви не вибрали, все одно прийдете до мети. Але іноді доведеться поблукати. Ось декілька популярних підходів:
1. Графічний метод
Одна з найпростіших технік. Візьміть графік функції і подивіться, як він міняється. Очевидно — візуально все простіше. Визначте, до якої точки прагне функція, коли аргумент рушає до певного значення. Чи є у вас улюблена програма для побудови графіків? У доброго математика їх декілька!
2. Аналітичний метод
Тут вже не обійтися без знання формул і правил. Ліміт, перевірка на розрив, аналітичне продовження — це не просто фрази з підручника. Це справжній код до захопливої гри обчислень. Це трохи як магія з заклинаннями, але з цифрами.
3. Табличний метод
Цей підхід підходить для тих, хто любить мати все під контролем, . Створіть таблицю з числовими значеннями, які прагнуть до межі. Спостерігайте за змінами у функції. Відчуваєте? Це ваш шлях до розуміння.
Типи границь
Існує кілька типів границь. Іноді вони просто вписують ваше ім’я до історії, а іноді — змушують копати глибше.
Правостороння і лівостороння границя
- Правостороння: як функція наближається до значення з більшої сторони.
- Лівостороння: як функція наближається до значення з меншої сторони.
Іноді ці границі співпадають, а іноді — ні. Іноді, майже як у житті, вони змушують вас задуматися. Але якщо вони співпадають, ви можете бути спокійні.
Нескінченна границя
Цікава річ, що функція може прагнути до нескінченності. Вона просто тягнеться, нікуди не спрямовуючись. Бажаєте прикладу? Вдумайтесь у те, що відбувається з функцією y = 1/x, коли x прямує до нуля. Це кидає виклик уяві.
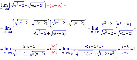
Приклади знаходження границь
Настав час для практики. Це як фільм без сценарію — ми імпровізуємо на ходу. Ось кілька прикладів:
Лінійні функції
Найбільш елементарно. Згадайте шкільний курс. Якщо у вас є лінія y = 2x + 3, то щоб знайти границю при x прямує до 2, просто підставте значення: 2*2 + 3 = 7.
Квадратичні функції
Ну, тут вже цікавіше. Візьміть щось на кшталт y = x² – 4x + 4. Що ми бачимо, коли x прямує до 2? Підставляємо: 2² – 4*2 + 4 = 0. Щось виходить, правда?
Показники та логарифми
Тут теж є свої нюанси. Функції типу y = x^x можуть збити з пантелику. Але нічого страшного. Аналізуючи поведінку таких функцій, іноді варто звертати увагу на експоненційні перетворення. Хоча іноді… знаєте, треба просто розслабитись і дати голові трохи відпочити.
Границя функції і похідна
І ось ми підходимо до важливої теми — похідних. Границя без похідної? Та куди ж нам без них, якщо ми плануємо вивчити динаміку змін. Вам знайоме таке рівняння? f'(x) = lim (h→0) [(f(x+h) – f(x))/h]. Саме так, розкриття всіх таємниць складніших функцій починається тут.
Робити похідну – це як малювати у повітрі
Життя здатне на дивовижні речі. Візьміть y = x^3. Знайдімо її похідну: f'(x) = 3x^2. І що ми бачимо на пункті x=2? Спостерігайте: 3*(2^2) = 12.
Взаємозв’язок з інтегралом
Інтеграл — немов таємнича істота математичного океану. Скільки передбачень приховує ця частина математики? Як писав відомий математик, «це магія без чарівної палички». Використовуючи інтеграли, ми проектуємо прагнення функцій у безмежність.
І знаєте, взагалі це все про нас. Про людей, які шукають відповіді на складні питання. Які не бояться ставити під сумнів очевидне. Які здатні заглянути в саму сутність речей.
Сутність інтегралу
| Тема | Визначення | Практика |
|---|---|---|
| Гранична сума | Оцінка площі під кривою | Розв’язуйте задачі з обчислення площі |
| Неозначений інтеграл | Антидеривація фукнкції | Знайдіть функцію первісну |
| Визначений інтеграл | Числове значення площі | Застосовуйте методи чисельного обчислення |
Висновки
Знайти границю функції — це одна з найцікавіших та найзахоплюючих завдань у математиці. Це як клітина, яка допомагає зрозуміти поведінку живого організму, що складається з багатьох елементів. І не важливо, чи йдеться про економіку, технології або фізику. Важливо, що завжди є запитання, які спонукають до пошуку.
І знаєте, ми такі, якими є. Іноді навіть математика може виглядати поетичною. Й це нормально.







