- Як знайти координати точок перетину графіків функцій без побудови
- Що таке точки перетину та навіщо вони потрібні?
- Алгоритм пошуку точок перетину
- 1. Запис рівнянь функцій
- 2. Перетворення в рівняння
- 3. Розв’язок рівняння
- 4. Підстановлення у функцію
- 5. Знаходження координат точок перетину
- 6. Перевірка рішення
- Поширені помилки під час пошуку точок перетину
- Чому важливо розбиратися у функціях?
- Висновок
Як знайти координати точок перетину графіків функцій без побудови
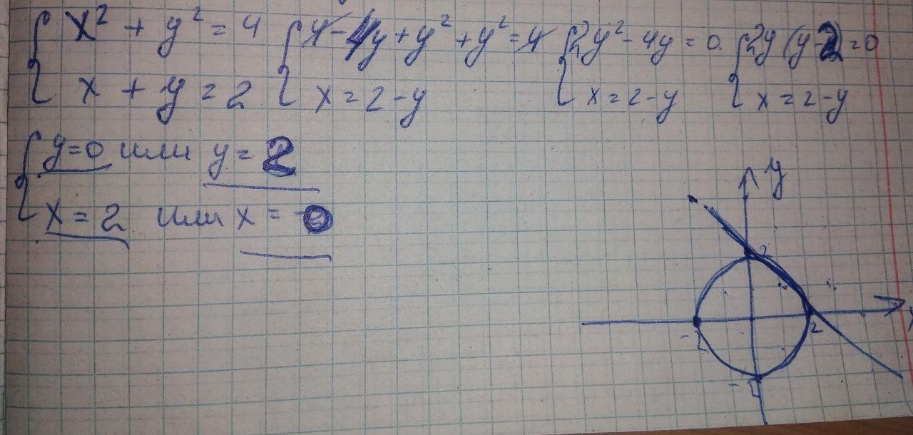
Знаходження точок перетину графіків функцій без виконання побудови може здатися складним завданням, але воно має свої секрети. Жодного дивного обладнання, лише прості математичні операції та тонкий розум. Замість того, щоб витрачати час на креслення, ми можемо розв’язати рівняння і знайти бажані координати.
Що таке точки перетину та навіщо вони потрібні?
Не всі знають, але точки перетину можуть бути справжнім скарбом. Вони показують, де дві функції мають однакові значення. Це ніби знайти загублений ключ серед численних брелків. Фактично, це те місце, де дві різних подорожі перетинаються. Чому це важливо? Саме там розкривається сама суть функцій, їхні спільні моменти.
Алгоритм пошуку точок перетину
Весь процес знаходження точок перетину можна розділити на кілька етапів. Без жартів, спробуйте
1. Запис рівнянь функцій
- Перша функція: f(x) = g(x)
- Друга функція: h(x) = k(x)
Ми хочемо, щоб значення двох функцій стали однаковими для конкретної точки.
2. Перетворення в рівняння
Вирівняйте функції:
f(x) = h(x)
Це схоже на “набираєш кілограми чи втрачаєш”, коли просто записувати, але це, маю сказати, звучить простіше, ніж на ділі.
3. Розв’язок рівняння
Після рівняння ми шукаємо корінь. Все як у школі: розв’язати рівняння, коли грають механічну музику. Але знаєте, це не стільки жахливо, скільки цікаво.
Пример: 2x + 3 = 5x - 4
Математика не завжди є насолода, але вона завжди цінна помічниця. Після розв’язання ми отримуємо значення x, яке є x-координатою точки перетину.
4. Підстановлення у функцію
Після того, як x знайдено, підставляємо його у будь-яку вихідну функцію для отримання значення y. Хімія в ній, правда.
5. Знаходження координат точок перетину
Тепер ми маємо цілий спектр точок. Термін “спектр” використаний не дарма, адже функціональність цієї процедури не варто недооцінювати.
6. Перевірка рішення
Бо помилки трапляються, варто підключити інстинкт перевірки. Ох, так, перевірка – це завжди добре.
Поширені помилки під час пошуку точок перетину
Не забувайте: математика – це наука, де навіть один невірний крок може призвести до катастрофи. Ось кілька типових помилок:
- Неправильний запис рівнянь. Математика не терпить ліні. Як-не-як старайтеся.
- Помилкове розв’язання. Буває, забули про дрібний знак, а потім – павутиння плутаєш.
- Недостатня перевірка. Навіть перевірений розв’язок може містити помилки.
Чому важливо розбиратися у функціях?
Здається, складних функцій у нашому житті не так вже й багато, але розуміння функцій дозволяє більше контролювати своє математичне оточення. Надання вагомих математичних рішень може стати корисним не лише в роботі, але й у повсякденному житті.
Смішно, але все-таки, іноді краще знати більше, ніж потрібно на перший погляд. Іноді – менше.
Висновок
Зараз, коли світ здається складеним з рівнянь і функцій, можливість знаходити точки перетину без побудови стає важливою навичкою. Жодної магії – лише спритний розум, точні слова і невігластво до дрібниць. Чесно, іноді це все, що потрібно, аби відчувати себе на хвилі.







